De bofuitbraak in 2007-2009 is aanleiding geweest voor nader onderzoek door het RIVM. De ziektegevallen deden zich vooral voor onder ongevaccineerden, maar er werden ook gevaccineerde patiënten met bof gemeld. Het was onduidelijk in welke mate de gevaccineerde kinderen een rol speelden bij de verdere transmissie van het bofvirus. De onderzoeksvragen waren: in welke mate scheiden gevaccineerde bofpatiënten bofvirus uit in speeksel? Hebben gevaccineerde bofpatiënten (on)gevaccineerde broertjes of zusjes besmet?

content

Auteur(s): E. Fanoy, J. Cremer, J. Ferreira , S. Dittrich, A. van Lier, S. Hahné, H. Boot, R. van Binnendijk

Infectieziekten Bulletin, jaargang 23, nummer 7, september 2012

In de literatuur was daar zeer weinig over te vinden, de meeste bofkennis stamt uit het pre-BMR bof, mazelen,rodehond (bof, mazelen,rodehond)-vaccinatietijdperk en beschrijft daarom de bofdynamiek bij ongevaccineerde patiënten. Dit was dan ook de aanleiding om tijdens deze uitbraak een onderzoek op
te starten. De uitkomsten van deze specifieke onderzoeksvragen zijn gepubliceerd (1) en hieronder volgt een samenvatting.

Opzet en uitvoering

De concentratie viraal RNA ribonucleic acid (ribonucleic acid) in speeksel werd gebruikt als een indicator voor besmettelijkheid van al dan niet gevaccineerde bofpatiënten. Vanaf het begin van de bofepidemie werden, door met name huisartsen, bloed, speeksel en urinemonsters ingezonden naar het RIVM In dit materiaal werd de concentratie bofvirus- RNA bepaald met RT-PCR Reverse transcriptase-Polymerase chain reaction (Reverse transcriptase-Polymerase chain reaction). De proportie bofpositieve monsters van gevaccineerde en ongevaccineerde bofpatiënten, en de invloed van eerdere vaccinatie op de hoeveelheid virusuitscheiding werden statistisch geanalyseerd, waarbij gecorrigeerd werd voor leeftijd en het aantal dagen tussen de monsterafname en de eerste ziektedag. Om te weten of een gevaccineerde bofpatiënt al dan niet gevaccineerde gezinscontacten kan besmetten werd aan de gezinsleden van gevaccineerde bofpatiënten gevraagd of ze een vragenlijst wilden invullen. De vragen gingen over de vaccinatiestatus en eventuele bofgerelateerde klachten in de voorafgaande periode van alle gezinsleden. Verder werden speekselmonsters afgenomen van de kinderen in het gezin en ingestuurd voor onderzoek naar bofspecifieke IgG Immunoglobulin G (Immunoglobulin G)-antistoffen. 

Resultaten

Van 341 patiënten met klinisch verdachte bofklachten werden in de periode augustus 2007 tot en met juni 2009, bloed-, speekselen urinemonsters voor diagnostiek ingezonden naar het RIVM. Bij 50% (n=171) van deze patiënten werd de diagnose bof bevestigd
(95% met behulp van PCR polymerase chain reaction (polymerase chain reaction), 5% met IgM immuunglobuline M (immuunglobuline M)-serologie). De meeste van deze patiënten waren ongevaccineerd (n=111, mediane leeftijd 15 jaar). Ongeveer de helft van de gevaccineerde onderzoekspopulatie was eenmaal gevaccineerd tegen bof, mazelen en rodehond (BMR) (n=27, mediane leeftijd 5 jaar), terwijl de andere helft tweemaal gevaccineerd was (n=33, mediane leeftijd 13 jaar). De mediane duur na laatste vaccinatie binnen beide patiëntengroepen was 4 jaar. Er is in deze uitbraak voornamelijk genotype D-bofvirus gedetecteerd.
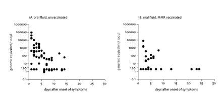
De proportie van bof PCR-positief geteste monsters was het hoogst bij de ongevaccineerde patiënten met verdachte klachten. Vooral in de urinemonsters was dit verschil groot. (Tabel 1) Er was een afname van de virale titer in speeksel over de tijd (zie figuur 1A, 1B). De figuur laat zien dat de virale titer bij de ongevaccineerde patiënten (1A) vooral gedurende de eerste paar dagen na de eerste ziektedag gemiddeld hoger is dan bij gevaccineerde patiënten (1B) wanneer dit wordt uitgezet tegen de tijd. Dit bleek ook uit lineaire regressieanalyse na correctie voor leeftijd en de duur sinds eerste ziektedag en de monsterafname. Aan het contactonderzoek deden 36 gezinnen van gevaccineerde bofpatiënten mee. Er werden geen nieuwe klinische bofgevallen vastgesteld onder de gezinsleden. Er was wel serologische aanwijzing in speeksel voor asymptomatische bofinfecties onder gevaccineerde broers/zussen (9 van de 66 gevaccineerde broers/zussen, zie tabel 2). Bij 2 van deze 9 broers/zussen kon geen andere mogelijke besmettingsbron (zoals bofcirculatie op school) worden gevonden dan de gevaccineerde indexpatiënt.

Tabel 1: PCR-bofviruspositieve monsters van patiënten met klinische bof
 

Vaccinatiestatus

Speeksel

Keelwat

Urine

Geen BMR (N=111)

0,75 (67/89)

0,68 (34/50)

0,61 (54/88)

BMR (n=60)

0,62 (33/53)

0,44 (14/32)

0,28 (15/53)

P-waarde

0,10

<0,05

<0,05

 

 

Figuur 1:Virale boftiter in speeksel van ongevaccineerde (1A) en gevaccineerde patiënten (een- en tweemaal BMR-gevaccineerden zijn gepoold), gemeten vanaf eerste ziektedag. MMR measles, mumps, rubella (measles, mumps, rubella) = Engels (mumps-measles-rubella) voor BMR

 

Tabel 2 Serologische aanwijzing (bofspecifieke IgG) voor bofinfectie bij broers en zussen van gevaccineerde bofpatiënten
 

Gezinsleden

Aantal onderzochte personen

Aantal personen met bofspecifieke antistoffen (IgG)*

Mediane duur sinds laatste vaccinatie in jaren

Broer/zus (ongevaccineerd)

2

0

-

Broer/zus (gevaccineerd)

66

9

4,1

 

Discussie en conclusies

Bij slechts een klein gedeelte van alle symptomatische bofpatiënten is laboratriumdiagnostiek uitgevoerd. Dit komt mede omdat bof nog niet meldingsplichtig was tijdens deze uitbraak en er ook maar zeer beperkt monsters voor diagnostiek werd afgenomen bij de ongevaccineerden. Echter, vanwege het grote aantal besmette ongevaccineerde patiënten, werd al snel na de aanvang van de uitbraak vanuit het RIVM geadviseerd om met name bij gevaccineerde verdachte patiënten diagnostiek te doen, om alert te blijven op mogelijke transmissie naar de gevaccineerde populatie. De dataverzameling gedurende de uitbraak is daarom een overschatting van het percentage gevaccineerde bofpatiënten; we nemen aan dat het overgrote deel van alle bofpatiënten in deze uitbraak ongevaccineerd was. Dit  betekent dus dat de bijdrage van gevaccineerde bofpatiënten aan de bofcirculatie binnen deze uitbraak beperkt lijkt vergeleken met de bijdrage van ongevaccineerde bofpatiënten.

Gevaccineerde bofpatiënten hebben vaker een negatief urinemonster en lagere virale titers in speeksel dan ongevaccineerde bofpatiënten. Vaccinatie lijkt daarom zowel de viraemie, als de besmettelijkheid tijdens een bofinfectie te verminderen, maar incidenteel kunnen gevaccineerde bofpatiënten toch een hoge virusexcretie bereiken. Het is aannemelijk dat de 9 van de 66 broers/zussen met serologische aanwijzing voor recente bofbesmetting een onderschatting zijn, omdat de diagnostiek in een laat stadium is afgenomen en de gebruikte afkapwaarde hoog gesteld is. De kans dat zij door de indexpatiënt besmet zijn is het meest waarschijnlijk vanwege afwezigheid van andere bronnen. Dit is indirecte onderbouwing van de aanname dat gevaccineerde bofpatiënten daadwerkelijk besmettelijk kunnen zijn voor nauwe contacten.

Deze studie ondersteunt de gedachte dat BMR-vaccinatie bof, mazelen, rodehond (bof, mazelen, rodehond) de besmettelijkheid tijdens een bofinfectie vermindert, maar dat in individuele gevallen gevaccineerde bofpatiënten wel degelijk besmettelijk kunnen zijn. Deze laatste constatering wordt recent ook ondersteund door de genotype G-bofuitbraak onder merendeels gevaccineerde studenten (2009-heden).

Auteurs

E. Fanoy (1,2), J. Cremer (2), J. Ferreira (3), S. Dittrich 92), A. van Lier (2), S. Hahné (2) H. Boot (2), R. van Binnendijk (2)

  1. GGD Gemeentelijke Gezondheidsdienst (Gemeentelijke Gezondheidsdienst) Midden-Nederland, Zeist
  2. Centrum infectieziektebestrijding, RIVM, Bilthoven
  3. Expertisecentrum voor methoden en informatie, RIVM, Bilthoven

Correspondentie: E. Fanoy | Ewout.Fanoy@rivm.nl

Noot: De eerste auteur heeft dit onderzoek uitgevoerd bij het  laboratorium voor Infectieziekten en Screening van het  RIVM in het kader van de tweede fase van de opleiding tot  arts Maatschappij en Gezondheid aan de Netherlands  School of Public & Occupational Health (NSPOH Netherlands School of Public & Occupational Health (Netherlands School of Public & Occupational Health)).

Literatuur

1. Fanoy EB, Cremer J, Ferreira JA, Dittrich S, van Lier A, Hahné SJ, Boot HJ, van Binnendijk RS respiratoir syncytieel (respiratoir syncytieel). Transmission of mumps virus from mumps-vaccinated individuals to close contacts. Vaccine. 2011 Nov 28;29(51):9551-6.